Internet je plný upravených photoshopovaných fotiek, u ktorých je to naozaj zjavné. Potom sú tu také, ktoré robili profesionáli a vyzerajú veľmi dobre. A potom sú tu tieto v nasledujúcom zozname, ktoré sú naozaj pravé a človek tomu proste nemôže uveriť. Vysvetlíme, prečo sú pravé fotky a naozaj reálne.
Schody do pekla – toto je chodba v metre v Stockholme. V Švédsku sa proste rozhodli, že zo staníc metra urobia umelecké diela.
Toto sú najväčšie rohy na svete, Majú obvod neuveriteľných 95cm a aj keď táto fotka vyzerá nereálna, je pravá. Byvol už bohužiaľ zomrel v roku 2010 na rakovinu.
Mních sa na tomto jednom mieste modlil každý deň 20 rokov a podarilo sa mu urobiť stopy do dreva.
Fotka ako z photoshopu. Po zemetrasení sa zem rozdelila presne v strede cesty. Je to preto, pretože pásy cesty boli položené osobitne a tam bol spoj najslabší.
Plameniaky urobili takýto útvar, ktorý sa dá vidieť len raz za život. Náhoda?
Oblak v miestnosti – toto je naozaj umelecké dielo umelca, ktorý meral teplotu a vlhkosť v miestnosti, kým sa mu nepodaril tento kúsok.
Strašidelné mraky – naozaj reálne, v štáte Iowa.
Hora bola takto nasvietená počas západu slnka v Montane.
Ružová rieka v Senegale – vďačíme tomu 40% podielu koncentrácie soli a baktérii, ktorá túto soľ miluje.
Šperková kukurica – táto kukurica nie je namaľovaná, je vytvorená z niekoľkých rôznych odrôd a je jedlá.
Ako inak tomuto povedať, snáď len blázon
Kvet ibišteka, ktorý sa otvoril až po vulkanickej aktivite vytvoril ilúziu dobre upravenej fotky
Toto je vyschnuté koryto rieky Sossusvlei v Namíbskej púšti. Geológovia nemôžu prísť na to, prečo sa tam takéto duny robia.
Jaskyňa kryštálov – nachádza sa v Mexiku
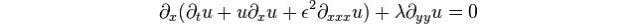
Tieto kockované vlny sú reálne a vysvetliteľné týmto jednoduchým vzorcom:
Tento ostrov Al Futaisi vlastní Sheikh Hamad Bin Hamadan Al Nahyan jeden z rodín vládnucich Abu Dhabi. Nápis je vidieť z vesmíru.
Lego mesto – nie, nie je to z lega, je to naozaj fotka mesta San Buenaventura v Mexiku
Unikátna kombinácia dvoch DNA v jednej mačke
Návnada bola ryba, ktorú zjedol menší žralok nasledovaný väčším. Veľa hladných v mori.
V Yellowstone National Park vytvorili znova baktérie tieto rozličné farby. Závisia od rôznych teplôt na iných miestach.
Ryba s ľudskými zubami – more je niekedy naozaj prekvapujúce
Plávajúce monštrum – takto to vyzerá, keď umrie veľryba a dostane sa na breh
Tento človek mal druh rakoviny, kde mu pri odstraňovaní nádoru museli odstrániť aj časť tváre a oko. Teraz je ako atrakcia v rôznych predstaveniach keď dokáže toto.
Zdroj: Diply.com
























